產品資訊詳細資訊
快速的 F2.8 APS-C 標準變焦鏡頭
我們的首款 16-55 mm (相當於 24-82.5 mm 全片幅) APS-C 變焦鏡頭具備恆定 F2.8 光圈,兼具極為輕巧的體積與符合 G 系列鏡頭的性能。全新光學設計可呈現絕佳的邊角解析度,以及優美、自然的散景。這款體積輕巧的鏡頭適合拍攝各種類型的主體。
輕巧的 F2.8 APS-C 標準變焦 G 系列鏡頭
與 Sony E 接環 α 相機搭配,APS-C E 接環鏡頭的性能不輸大型相機。1
E 16-55 mm F2.8 G P 相片庫
鏡頭組成
無可挑剔的 Sony G 鏡頭設計,在高解析度與美麗的背景散景之間達到適當平衡,提升藝術境界。
[1] 進階非球面鏡片 (AA 鏡片) [2] 非球面鏡片 [3] ED 鏡片
[1] 進階非球面鏡片 (AA 鏡片) [2] 非球面鏡片 [3] ED 鏡片
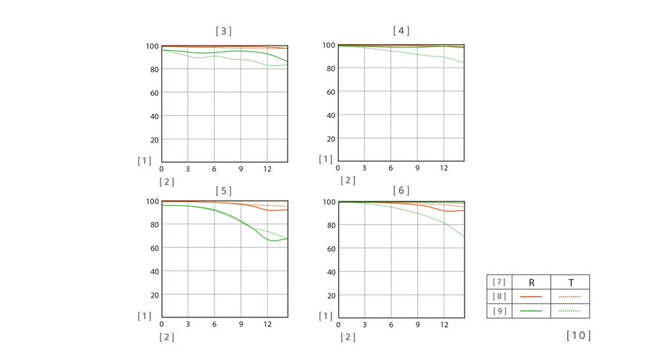
MTF 特性圖
MTF (調變轉換函數) 可表示鏡頭重現微小細節的能力優劣,測量標準為線條間的細小間隔所能達到之對比。
[1] 對比 (%) [2] 到鏡頭光學中心點的距離 (mm) [3] 在 16 mm 時 / 最大光圈 [4] 在 16 mm 時 / F8 光圈 [5] 在 55 mm 時 / 最大光圈 [6] 在 55 mm 時 / F8光圈 [7] 空間頻率 [8] 10 對線條 / mm [9] 30 對線條 / mm [10] R:半徑值 T:切線值
[1] 對比 (%) [2] 到鏡頭光學中心點的距離 (mm) [3] 在 16 mm 時 / 最大光圈 [4] 在 16 mm 時 / F8 光圈 [5] 在 55 mm 時 / 最大光圈 [6] 在 55 mm 時 / F8光圈 [7] 空間頻率 [8] 10 對線條 / mm [9] 30 對線條 / mm [10] R:半徑值 T:切線值
鏡頭控制
1. 對焦環 2. 對焦鎖定按鈕 3. 對焦模式開關 4. 變焦環
E 16-55 mm F2.8 G 相容性
註解
1. 裝在採用 APS-C 型感光元件的 α 系列相機上時,實際視角等於所載焦距 1.5 倍下獲得的視角。
2. 不保證 100% 防塵防滴。
3 裝在採用 APS-C 型感光元件的 α 系列相機上時,實際視角等於所載焦距 1.5 倍下獲得的視角。
4. 此產品也稱為 SEL1655G//C SYX
5. 實際顏色及尺寸可能與網頁顯示內容略有差異。
6. 所示產品的顏色與功能可能會依國家/地區而異。
7. 服務之提供因國家 / 地區而異。安裝於該產品或透過該產品存取的部分或所有軟體 / 服務可能會變更、中止、移除、暫止或終止,而不另行通知。
8. 功能與規格時有變更,恕不另行通知。
2. 不保證 100% 防塵防滴。
3 裝在採用 APS-C 型感光元件的 α 系列相機上時,實際視角等於所載焦距 1.5 倍下獲得的視角。
4. 此產品也稱為 SEL1655G//C SYX
5. 實際顏色及尺寸可能與網頁顯示內容略有差異。
6. 所示產品的顏色與功能可能會依國家/地區而異。
7. 服務之提供因國家 / 地區而異。安裝於該產品或透過該產品存取的部分或所有軟體 / 服務可能會變更、中止、移除、暫止或終止,而不另行通知。
8. 功能與規格時有變更,恕不另行通知。

